头部
要闻
公开
办事
互动
县情
map
底部
要闻
公开
办事
互动
县情
map
1
政务微信
网站首页
聚焦海丰
政务公开
政务服务
互动交流
走进海丰
专题专栏
部门镇办
您现在所在的位置 :
首页 > 海丰县人民政府门户网站 > 重点领域信息公开 > 教育信息 > 教育信息公开 > 工作动态
分享到:
县教育局公布2024年海丰县中小学青年教师教学能力大赛获奖名单
2025-02-28 10:10
来源:
海丰县教育局
发布机构:
海丰县人民政府门户网站
【字体:
大
中
小
】
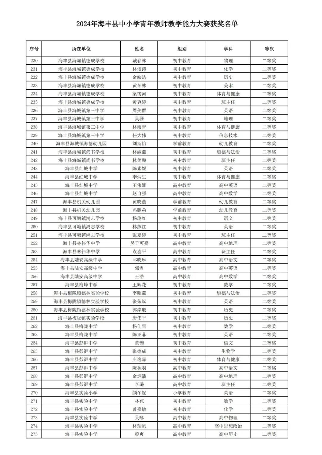
2024年海丰县中小学青年教师教学能力大赛活动已完成。现将获奖名单予以公布。
关联稿件:
相关附件:
扫一扫在手机打开当前页
【TOP】
【
打印页面
】【
关闭页面
】
-
-
您访问的链接即将离开“海丰县人民政府”门户网站,是否继续?
map